반응형
Lost in Embeddings: Information Loss in Vision–Language Model
해당 논문을 요약한 내용 입니다.
연구 배경 & 문제의식

Vision-Language Models(VLMs)는 이미지와 텍스트를 같은 임베딩 공간으로 매핑하여 질문 답변, 이미지 캡셔닝, 검색 등 다양한 작업을 수행합니다.
하지만 connector(이미지 임베딩 → 언어 모델 입력으로 변환하는 모듈)에서 시각 정보가 손실되면 모델 성능이 떨어질 수 있습니다.
이 논문은 connector가 시각적 기하·의미 정보를 얼마나 보존하는지를 정량화하고,
이 손실이 실제 다운스트림 작업 성능에 어떤 영향을 미치는지 평가하기 위한 두 가지 보완적 접근을 제안합니다.
방법론 (Methodology)
k-NN Overlap Ratio
- 아이디어: connector 통과 전후의 이미지 표현이 얼마나 유사한 이웃 관계를 유지하는지 측정
- 정의:

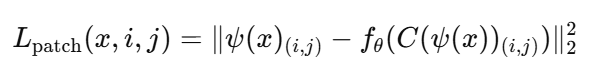
Patch-level Embedding Reconstruction
- 아이디어: connector 출력으로부터 원본 이미지 패치 임베딩을 복원하는 모델을 학습하고, 재구성 오차로 정보 손실을 측정

- 패치 단위 오차가 클수록 해당 위치의 시각 정보 복원이 어려움 → 고손실 영역 식별 가능
- VLM의 세부 시각적 표현이 얼마나 유지되는지 더 직접적으로 평가 가능
주요 실험 & 발견
연구팀은 LLaVA, Idefics2, Qwen2.5-VL 등 대표적인 connector 기반 VLM에서
질문 답변(VQA), 이미지 캡션, 검색 6개 데이터셋으로 평가했습니다.
- 구조적·의미적 정보 손실
- k-NN overlap ratio가 투영 후 40~60% 감소
- 감소폭이 클수록 검색 성능(Recall) 저하와 높은 상관관계
- Qwen2.5-VL은 낮은 overlap 비율에도 비교적 좋은 검색 성능 →
connector 설계 차이에 따라 손실 영향이 달라짐을 시사
- 패치 수준 손실의 모델 동작 설명력
- patch-level reconstruction loss가 높은 영역 →
세부 시각 정보가 필요한 VQA에서 성능 저하와 연결 - 반면 단순 질문에서는 영향 작음
- 시각적 디테일을 요구하는 질문일수록 connector의 정보 보존력이 중요
- patch-level reconstruction loss가 높은 영역 →
인사이트 & 의의
- 정량적 측정 프레임워크 제공
→ connector에서 발생하는 정보 손실을 수치로 측정 가능 - 모델 개선 가이드라인 제시
→ 시각적 기하학·세부 표현 보존을 위한 connector 설계, 정규화(regularization) 전략 설계에 활용 가능 - VLM 신뢰성 향상
→ 중요한 시각 정보가 손실되지 않도록 보장해야 실제 멀티모달 성능 최적화 가능
비판점 & 한계
- k-NN overlap은 국소적 구조만 측정 → 글로벌 의미 정보 손실 반영은 제한적
- Patch-level 재구성 모델 학습 자체가 비용이 크고,
downstream 태스크와의 정합성이 1:1 대응이 아님 - 분석은 주로 LLaVA, Idefics2, Qwen2.5-VL에 국한 →
더 다양한 아키텍처에서 일반화 검증 필요
앞으로의 연구 방향
- Connector 학습 시 정보 보존 정규화 적용 → end-to-end 훈련에서 활용
- 다양한 손실 지표 결합 → 기하 + 의미 + attention 구조까지 종합 평가
- 대규모 모델 적용 → Qwen2.5-VL 이상의 최신 VLM에서 재검증
- 어댑티브 connector 설계 → 작업(task)에 따라 시각 정보 보존 수준 조절
한줄 코멘트
이 논문은 VLM의 connector 모듈이 얼마나 정보를 잃는지 처음으로 체계적으로 측정
단순 성능 비교를 넘어, 어떤 정보가 사라지는지 → 어떤 태스크에서 문제가 되는지를
정량적으로 보여주는 좋은 프레임워크다.
반응형
'ML | DL > 딥러닝 논문' 카테고리의 다른 글
| 5분 컷 논문 리뷰: 작은 LLM이 Gemini Pro를 이겼다고? – Deep Research 데이터 합성 끝판왕, InfoSeek (1) | 2025.09.16 |
|---|---|
| 5분 컷 논문 리뷰: IntrEx – L2 학습자 참여도(Engagement) 모델링을 위한 대규모 교육 대화 데이터셋 (1) | 2025.09.16 |
| 5분 컷 논문 리뷰: 왜 언어 모델은 환각을 일으킬까? (2) | 2025.09.15 |
| 5분 컷 논문 리뷰: Easy Dataset – 비정형 문서를 LLM 학습 데이터로 바꾸는 통합 파이프라인 (1) | 2025.09.15 |
| 5분 컷 논문 리뷰: VLM-R1 – R1 스타일 RL로 시각적 추론 강화하기 (1) | 2025.09.15 |